_svg.png)
TWICE AS FAR
SWISSAIR 111
CRASH INVESTIGATION
![]()
![]()
![]()
- MY RESPONSE -
GOING OUTSIDE
THE SECURITY OF INFORMATION ACT
THE SECURITY OF INFORMATION ACT
SECTION 15

The offence mentioned in (2) (a) is Obstruction of Justice and of a Police Officer
under the
Criminal Code of Canada
during the investigation of a potential multiple homicide.
For (5) (a), the RCMP had designated one position as the deputy head for this act.
That was A/Commr Conlin,
the RCMP's Ethics Advisor
|
|
* * * * * * * * * * * *
CBC'S THE FIFTH ESTATE
- SWISSAIR 111 -
THE UNTOLD STORY
|
|
* * * * * * * * * * * *
THE RCMP'S REACTION TO
THE CBC'S
THE FIFTH ESTATE PROGRAM
BRIEFING NOTES TO THE COMMISSIONER OF THE RCMP


The blanked out spaces in the document
would have contained the name
Rob Gordon,
the CBC producer who met with Lathem.
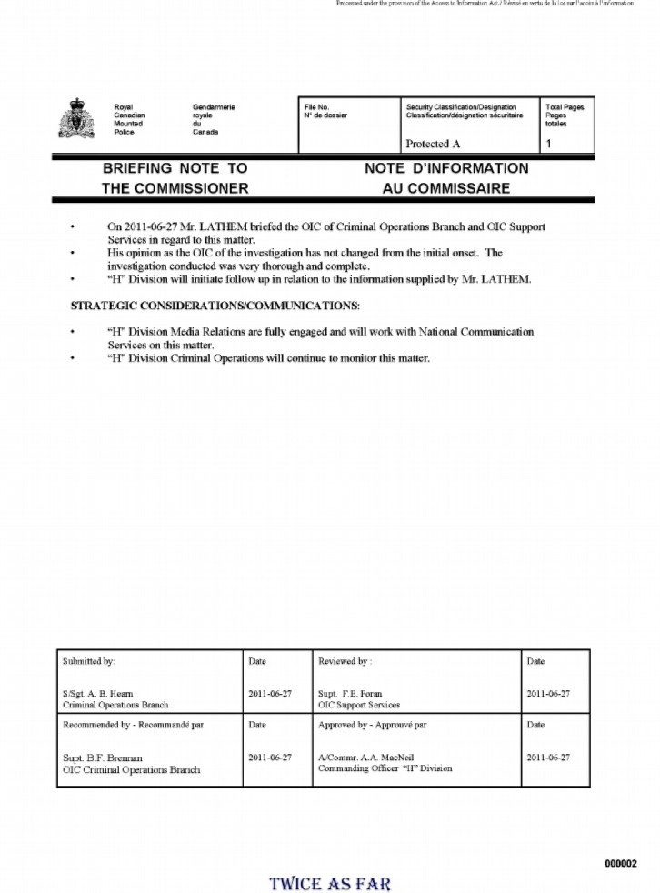
As for Lathem's opinion that the investigation was thorough and complete,
what else was he going to say about it?
He certainly would never admit that the TSB and the RCMP had done a shoddy job!
The Commissioner at the time was Bob Elliott.
He very likely knew more about the Ottawa connection for the file
than did this Staff Sergeant who submitted these pages.
After all, A/Commr Conlin had already briefed him two years earlier.
|
|
* * * * * * * * * * * *
RCMP
MEDIA LINES
IN PREPARATION FOR THE MEDIA'S QUESTIONS
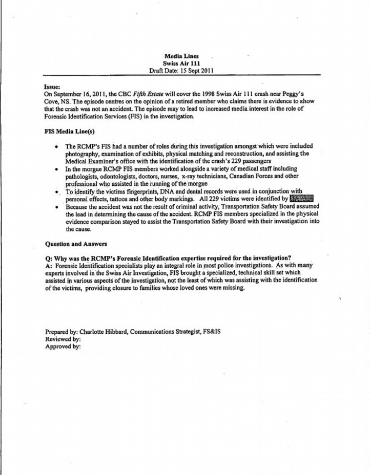
Typical of how the Force handles such situations,
they resorted to the documentation that had previously been prepared,
and use media relations people who were unable to answer any of the questions
other than by referring to the previously written materials.
This should now make it obvious as to why the Conlin Report was written as it was.


The line
'because the accident was not the result of criminal activity,'
is very interesting.
The TSB were the lead investigators from the very start
and the file was deemed as an accident within a day or two.
It is quite apparent that the file had never received serious consideration
by RCMP management
as anything other than an accident.



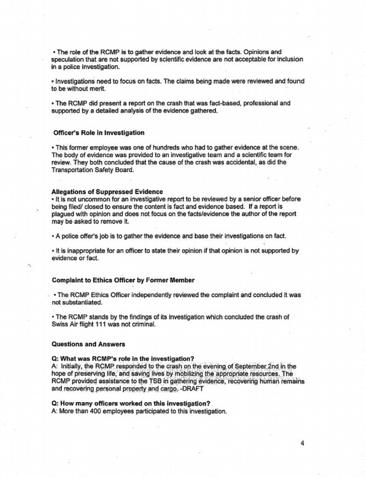
Note the lines following
'If pressed on the direction provided to the employee'.
This is where in the media releases
the complaint had silently changed
and it now focused on a report instead of notes.
No one at the time picked up on this point.



On this page,
we see the line that changes my complaint of
'change the notes'
to that of
'change the report'.
They did a great job of skating around the issue.
The last line is interesting considering that
the opinion of Dr. Brown
is indeed supported by scientific evidence,
as were the opinions of
Dr. Lyon, Dr. Quintiere, the two European Professors,
and the University of Toronto Professor.

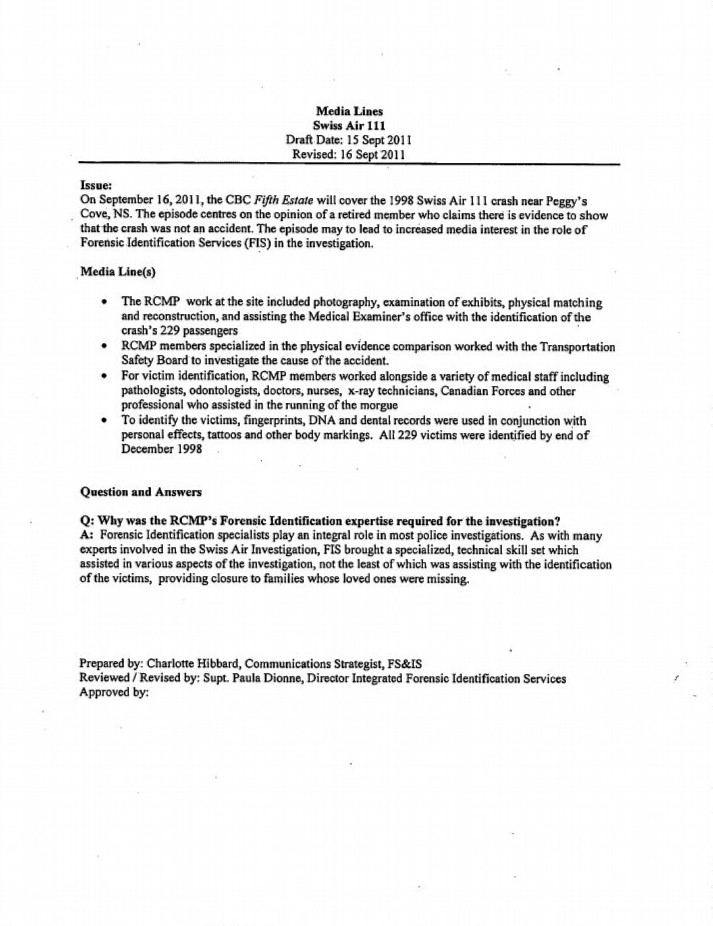
Superintendent Paula Dionne was at this time in Lee Fraser's old job
as the Director of the RCMP Forensic Identification Services across the country.
At the time of Swissair 111,
she had been a Corporal stationed in Moncton Forensic Identification Section
and she spent a week or two rotating into the hangar as one of the frontend photographers.
She and her photography position were replaced by the new cadets and then by retired veterans,
all with no experience in Forensic Identification Services whatsoever.
While in the photography position, she had only a very limited contact with the file
by merely taking the initial photos of perhaps several hundred exhibits.
She would not have known what was happening on the file
because it was far too early in the process.
Again, experience comes into play.
With only a few years in a Forensic Identification Section
she went from the bottom of the ladder to the very top.
What did she know about this file?
Here can be seen the Force's attempt to minimise the activities
of the one Identification member
who went from start to finish with the file.
The familiar term called
'Smoke and Mirrors'
comes to mind for what they were doing.
It's interesting that these answers to potential questions were put forward
without knowing what was to be presented in the program.
It was management's efforts to cloud and cloak the issues in half-truths and lies.
Someone very high up the chain of command
was very scared of what the program would reveal.
|
|
* * * * * * * * * * * *
DR BROWN'S
FIRST AES REPORT
TO THE TSB
As described in the book,
it was not until after the airing of the CBC program
that I learned of the contents of Dr. Brown's first report.
A link is provided here to that report.
| -- FIRST AES REPORT -- |
Without having to look for them,
here are his conclusions.

While some may argue that this was a draft report and therefore subject to change,
one must realize the methods used by the TSB to bring about those changes.
If, during the examination of more samples,
Dr. Brown had determined a legitimate non-criminal source for the questioned elements,
that then would have been a proper and scientific method of
analysis, comparison, and evaluation.
However, to have Dr. Brown's superiors apply pressure to him
to change the report's conclusions
based simply on administrative requirements
is an illegal action under the Criminal Code.
Dr. Brown was a court witness in any potential court case.
For the TSB to then directly approach Dr. Brown,
and by the use of intimidation and threats
force him to alter his report,
is a breach of the Criminal Code of Canada.
They were influencing the evidence of a witness
in a potential future court case,
and they were causing the illegal alteration
of an official Government of Canada report.
By doing so,
they were obstructing justice
and
tampering with a court witness,
both of which are serious criminal offences.
Dr. Brown was not a member of the TSB,
so, therefore, he did not fall under the provisions of their legislation
as it pertains to court attendance.
This first report with its conclusions of a criminal scenario,
and how to handle that report,
were the subjects of several high-level meetings
between the RCMP and the TSB.
Those meetings included the Commissioner of the RCMP,
senior RCMP officers,
along with Lathem and Lee Fraser.
On the morning of the 1st of December, 2000
Lathem, Tanner, and Gerden
discussed these matters
in the hangar.
That led to the 'ambush meetings' in Gerden's office,
and later the second meeting in the hangar's Identification Section office.
Lathem's and Tanner's failure to act on the report
should be construed as a dereliction of duty and breach of trust.
It was an obstruction of justice.
|
|
* * * * * * * * * * * *
NOTES OF PHONE CONVERSATION WITH DR BROWN
NOTES OF PHONE CONVERSATION WITH DR. BROWN

The point that I failed to add in the notes
was that Dr. Brown had been threatened by the TSB member who met with him.
Dr. Brown had been told that
he should read the fine print of the contract that CANMET had with the TSB.
It stated that the TSB had the final decision in how the AES report was written,
or they wouldn't pay for the testing.
|
|
* * * * * * * * * * * *
NOTES OF PHONE CONVERSATION WITH DR BROWN
On 2012 MAR 03, the following memo was received from
the RCMP's Professional Integrity Officer,
Joseph HINCKE,
in response to my request to reopen my complaint for a more thorough investigation of the matter.
This is the Bio page for Joseph HINCKE
as shown on the website for
The Transportation Board of Canada

So when Joseph HINCKE responded to my request to reopen Conlin's investigation,
which would have meant reopening the whole Swissair 111 matter,
it is reasonable to assume that he already knew
he was going to be working for the TSB.
Corruption comes in many forms, as does conflict of interest!
* * * * * * * * * * * *
|
|
|
|
|
|
|
|
![]()
![]()
![]()
![]()